Why the FDA Tried to Ban This Amino Acid Derivative
The master antioxidant precursor you need to fend off sickness this winter
This isn’t coincidental timing.
Winter delivers the viral transmission trifecta: shorter days → minimal sun exposure → max indoor crowding. When infection rates spike, glutathione becomes your most critical defense. And NAC is the precursor that fuels it.
But immunity is only a single part of the NAC story. Its mechanisms extend to cognitive function, fertility, cardiovascular protection, & metabolic disease. 60+ years made it valuable enough for the FDA to remove it from the supplement market entirely.
Here’s everything you need to know about NAC benefits & protocols.
Why NAC Was Banned (Almost)
Relative to other compounds, NAC has a unique regulatory history spanning six decades:
1960: Zambon Group patents NAC as a mucolytic agent
1963: FDA approves NAC as prescription drug (Mucomyst) for respiratory mucus clearance
1967: NAC proven to replenish liver glutathione → becomes standard antidote for acetaminophen overdose
1991: First sold as OTC dietary supplement in the US
2004: FDA approves IV NAC (Acetadote) for acetaminophen overdose
July 2020: FDA issues warning letters to 7 supplement companies, declaring NAC illegal as a dietary supplement under DSHEA’s “drug preclusion clause”
May 2021: Amazon removes all 700+ NAC listings
June 2021: Industry groups sue FDA in federal court
April 2022: FDA issues draft guidance allowing enforcement discretion
August 2022: FDA finalizes guidance; Amazon relists NAC products
Today: Final FDA ruling still pending
How NAC Works

Glutathione Precursor (Indirect Antioxidant Action)
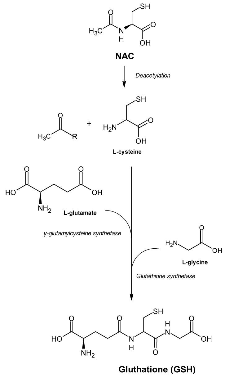
The primary mechanism at play1. NAC provides cysteine, the amino acid needed to synthesize glutathione (GSH) → the body’s primary intracellular antioxidant. Once absorbed, NAC breaks down to release cysteine combining with glutamate & glycine to form GSH.
A couple reasons this matters:
Direct supplementation with cysteine or glutathione is ineffective for raising plasma GSH levels
NAC is the most reliable method for boosting glutathione stores
Reactive Oxygen Species Scavenging (Direct Antioxidant Action)
NAC’s thiol (-SH) group directly neutralizes reactive oxygen species (ROS) including hydroxyl radicals and hydrogen peroxide. The thiol donates electrons to stabilize ROS preventing oxidative damage to proteins, lipids, and DNA.
Mucolytic Action
NAC breaks disulfide bonds in mucus glycoproteins → reduces mucus viscosity → improves airway clearance in both acute and chronic respiratory conditions.
Benefits: What the Research Shows
Immune Health
Flu Symptoms
6-month study (n=262)2 : 1,200 mg/day NAC significantly reduced flu frequency, severity, & duration.
Only 25% of infected NAC users developed symptomatic illness vs. 79% in placebo. Even breakthrough infections were milder.
COVID-19
2025 meta-analysis (12 RCTs, 1,100+ patients)3: NAC reduced mortality by 41% & accelerated hospital discharge rates.
A 2024 review4 also suggests NAC may function as a spike protein detox agent.
General Immune Function
4-month trial (n=36 postmenopausal women, 600 mg/day)5:
Natural killer cell activity
Age 50-69 years:
Baseline (prior to NAC): 22% lysis
4 months: 50% lysis (+127% increase)
Age ≥70 years:
Baseline (prior to NAC): 15% lysis
4 months: 42% lysis (+180% increase)
Neutrophil phagocytosis → the ability of white blood cells to scavenge & destroy pathogens
Age 50-69 years:
Baseline (prior to NAC): 105 phagocytic index
4 months: 220 phagocytic index (+110% increase)
Age ≥70 years:
Baseline (prior to NAC): 82 phagocytic index
4 months: 195 phagocytic index (+138% increase)
TNF-α → a pro-inflammatory cytokine associated with chronic inflammation
Age 50-69 years:
Baseline (prior to NAC): 1,100 pg/ml
4 months: 780 pg/ml (-29% decrease)
Age ≥70 years:
Baseline (prior to NAC): 1,100 pg/ml
4 months: 820 pg/ml (-25% decrease)
Plasma MDA → a marker of lipid peroxidation & oxidative stress
Age 50-69 years:
Baseline (prior to NAC): 3.4 μM
4 months: 2.3 μM (-32% decrease)
Age ≥70 years:
Baseline (prior to NAC): 4.2 μM
4 months of NAC: 2.9 μM (-31% decrease)
Skin Health
Acne
8-week trial (n=56)6: NAC increased glutathione by 205%, reduced malondialdehyde by 39%, & decreased IL-8 by 72%. Inflammatory lesions reduced by 50% (placebo = no significant change).
Respiratory Health
Bronchiectasis
12-month trial (n=161)7: 1,200 mg/day NAC reduced exacerbation rates by 34%, with 2x more patients remaining flare-up-free vs. standard treatment.
COPD
2024 meta-analysis (7 studies)8: NAC reduced exacerbation rates by 19-24% and tripled the odds of improved respiratory symptoms and quality of life. Benefits were most pronounced in treatments exceeding 5 months.
Pneumonia
2021 RCT (n=82)9: 1,200 mg/day NAC prevented progression to severe respiratory failure & reduced mortality in hospitalized COVID-19 patients.
It also cut mortality rates in hospitalized COVID-19 patients.
Cardiovascular Health
Cardiac Protection
Meta-analysis (28 RCTs, 2,174 patients)10: NAC administered before/during coronary reperfusion reduced postoperative atrial fibrillation risk by 43%. Effective across doses ranging from 20-150 mg/kg IV or 0.3-4.2 g oral.
Heart Failure
12-week RCT (n=55)11: 1,200 mg/day NAC alongside standard therapy improved markers of systolic heart failure.
Metabolic Health
12-week RCT (n=76)12: 1,800 mg/day NAC significantly improved:
Fasting blood glucose ↓
Fasting insulin ↓
HOMA-IR ↓
HDL-C ↑
hs-CRP ↓
Total plasma glutathione ↑
Liver Function
3-month RCT (n=30)13: NAC significantly outperformed vitamin C across all grades of steatosis:
ALT reduced by 33%
Spleen size reduced by 4%
Anti-Inflammatory & Antioxidant Effects
2020 meta-analysis (28 studies)14: NAC at doses ranging from 500-2,000 mg/day significantly reduced:
Malondialdehyde (lipid peroxidation)
IL-8
Homocysteine
Sexual & Reproductive Health
Male Fertility
Meta-analysis (5 studies)15: NAC at 600 mg/day significantly improved all major semen parameters:
Sperm volume ↑
Sperm concentration ↑
Sperm motility ↑
Sperm morphology ↑
PCOS
2025 meta-analysis (2,515 subjects)16 : 600 mg 3x/day NAC significantly increased:
Progesterone levels ↑
Endometrial thickness ↑
Luteinizing hormone ↑
Gut Health
Ulcerative Colitis
22-week trial (n=168)17: 800 mg/day NAC resulted in 68% reduction in relapses (6 vs. 19 in placebo). Also significantly lowered hs-CRP.
H. pylori
RCT (n=40)18: NAC pretreatment of 600 mg/day tripled eradication rates in treatment-resistant patients (65% success vs. 20% without NAC). NAC disrupts the protective biofilm that shields H. pylori from antibiotics.

Brain, Cognitive, & Neurological Health
Depression/Bipolar Disorder
2024 meta-analysis (900 subjects)19: 1,000-3,000 mg/day NAC for 8-24 weeks significantly reduced depressive symptoms.
Schizophrenia
2020 meta-analysis (7 studies; 440 subjects)20: 1,200-3,600 mg/day for 24 weeks improved overall symptom severity & cognitive function.
Cannabis Use
RCT (n=116 adolescents)21: 1,200 mg 2x/day + counseling resulted in 2.5x higher odds of abstinence vs. placebo over 8 weeks. First successful pharmacotherapy trial for cannabis dependence in any age group.
Neurodegenerative Disease
3-month RCT22: Weekly IV NAC (50 mg/kg) + 1,000 mg/day oral NAC showed 3.4-8.3% increase in dopamine transporter binding.
Autism
2023 meta-analysis23: 2,400 mg/day NAC for 8-12 weeks showed significant improvements in:
Overall aberrant behavior
Irritability
Hyperactivity
Social awareness
Protocols
Objective-Driven Protocols
Phys Current Protocol
Objectives:
Immunity
Brain Health
Daily Dose: 1,200 mg — split across 2 doses (upon waking & 1 hr before bed)
Optimal Timing: NAC is best taken on an empty stomach to optimize absorption & bioavailability. High-fat or protein-dense meals slow gastric transit → prolong the time NAC spends in the acidic stomach environment → greater susceptibility to degradation.
Why the AM dose? → Glutathione levels naturally peak24 in early morning to handle daily oxidative stress. Taking NAC on an empty stomach in the morning amplifies this peak providing immediate cysteine for glutathione synthesis.
Why the PM dose? → Glutathione dips at night during cellular repair & detox. Pre-bed NAC replenishes cysteine for nocturnal production supporting liver detox & neuroprotection during sleep.
Cycling Protocol: NAC should be cycled. As the winter season picks up → temperatures start to drop → more time indoors → higher susceptibility to infection, I begin to cycle 1,200 mg across 2 daily doses for antioxidant support.
Reputable Source
Nootropics Depot NAC is my go-to choice.
✅ Third-party tested for purity, potency, & heavy metals (COA available on every batch)
✅ Pure powder format (no fillers, binders, or unnecessary additives → available in capsules)
✅ No sulfur odor (common in NAC products)
✅ Pharmaceutical-grade manufacturing
✅ $0.07/Serving
Another cost-effective tool to add to your immunity arsenal this winter. Stay healthy — it’s been a nasty winter this year. And until next time.
Your friend,
Phys
Tenório MCDS, Graciliano NG, Moura FA, Oliveira ACM, Goulart MOF. N-Acetylcysteine (NAC): Impacts on Human Health. Antioxidants (Basel). 2021 Jun 16;10(6):967. doi: 10.3390/antiox10060967. PMID: 34208683; PMCID: PMC8234027.
De Flora S, Grassi C, Carati L. Attenuation of influenza-like symptomatology and improvement of cell-mediated immunity with long-term N-acetylcysteine treatment. Eur Respir J. 1997 Jul;10(7):1535-41. doi: 10.1183/09031936.97.10071535. PMID: 9230243.
Varikasuvu SR, Manne M, Kumar S, Mudgal SK, Raj V, Varshney S, Gupta P, Grover A, Goyal C, Lal V, Singh H, Lisa M, Saransh Workshop Members. COVID-19 clinical outcomes and N-acetylcysteine (CoViNAC study): a GRADE compliant meta-analysis of randomized controlled trials with molecular docking and dynamics simulation studies with Mpro of SARS-CoV-2. Cell Mol Biol (Noisy-le-grand). 2025 May 26;71(5):95-102. doi: 10.14715/cmb/2025.71.5.13. PMID: 40418545.
Debnath U, Mitra A, Dewaker V, Prabhakar YS, Tadala R, Krishnan K, Wagh P, Velusamy U, Baliyan A, Kurpad AV, Bhattacharyya P, Mandal AK. Conformational perturbation of SARS-CoV-2 spike protein using N-acetyl cysteine: an exploration of probable mechanism of action to combat COVID-19. J Biomol Struct Dyn. 2024 Jul;42(10):5042-5052. doi: 10.1080/07391102.2023.2234031. Epub 2023 Jul 21. PMID: 37477247.
Arranz L, Fernández C, Rodríguez A, Ribera JM, De la Fuente M. The glutathione precursor N-acetylcysteine improves immune function in postmenopausal women. Free Radic Biol Med. 2008 Nov 1;45(9):1252-62. doi: 10.1016/j.freeradbiomed.2008.07.014. Epub 2008 Jul 27. PMID: 18694818.
Sahib AS, Al-Anbari HH, Salih M, Abdullah F (2012) Effects of Oral Antioxidants on Lesion Counts Associated with Oxidative Stress and Inflammation in Patients with Papulopustular Acne. J Clin Exp Dermatol Res 3:163. doi:10.4172/2155-9554.1000163
Qi Q, Ailiyaer Y, Liu R, Zhang Y, Li C, Liu M, Wang X, Jing L, Li Y. Effect of N-acetylcysteine on exacerbations of bronchiectasis (BENE): a randomized controlled trial. Respir Res. 2019 Apr 11;20(1):73. doi: 10.1186/s12931-019-1042-x. PMID: 30975143; PMCID: PMC6458826.
Papi A, Alfano F, Bigoni T, Mancini L, Mawass A, Baraldi F, Aljama C, Contoli M, Miravitlles M. N-acetylcysteine Treatment in Chronic Obstructive Pulmonary Disease (COPD) and Chronic Bronchitis/Pre-COPD: Distinct Meta-analyses. Arch Bronconeumol. 2024 May;60(5):269-278. English, Spanish. doi: 10.1016/j.arbres.2024.03.010. Epub 2024 Mar 18. PMID: 38555190.
Assimakopoulos SF, Aretha D, Komninos D, Dimitropoulou D, Lagadinou M, Leonidou L, Oikonomou I, Mouzaki A, Marangos M. N-acetyl-cysteine reduces the risk for mechanical ventilation and mortality in patients with COVID-19 pneumonia: a two-center retrospective cohort study. Infect Dis (Lond). 2021 Nov;53(11):847-854. doi: 10.1080/23744235.2021.1945675. Epub 2021 Jun 29. PMID: 34182881.
Khan SA, Campbell AM, Lu Y, An L, Alpert JS, Chen QM. N-Acetylcysteine for Cardiac Protection During Coronary Artery Reperfusion: A Systematic Review and Meta-Analysis of Randomized Controlled Trials. Front Cardiovasc Med. 2021 Nov 19;8:752939. doi: 10.3389/fcvm.2021.752939. PMID: 34869660; PMCID: PMC8640098.
Yazdi A, Khansari N, Mehrpooya M, Mohammadi Y, Zareie S. Oral N-acetylcysteine as an adjunct to standard medical therapy improved heart function in cases with stable class II and III systolic heart failure. Ir J Med Sci. 2022 Oct;191(5):2063-2075. doi: 10.1007/s11845-021-02829-3. Epub 2021 Nov 2. PMID: 34727343.
Panahi, Y., Ostadmohammadi, V., Raygan, F., Sharif, M. R., & Sahebkar, A. (2022). The effects of N-acetylcysteine administration on metabolic status and serum adiponectin levels in patients with metabolic syndrome: A randomized, double-blind, placebo-controlled trial. Journal of Functional Foods, 99, 105299. doi:10.1016/j.jff.2022.105299
Khoshbaten M, Aliasgarzadeh A, Masnadi K, Tarzamani MK, Farhang S, Babaei H, Kiani J, Zaare M, Najafipoor F. N-acetylcysteine improves liver function in patients with non-alcoholic Fatty liver disease. Hepat Mon. 2010 Winter;10(1):12-6. Epub 2010 Mar 1. PMID: 22308119; PMCID: PMC3270338.
Faghfouri AH, Zarezadeh M, Tavakoli-Rouzbehani OM, Radkhah N, Faghfuri E, Kord-Varkaneh H, Tan SC, Ostadrahimi A. The effects of N-acetylcysteine on inflammatory and oxidative stress biomarkers: A systematic review and meta-analysis of controlled clinical trials. Eur J Pharmacol. 2020 Oct 5;884:173368. doi: 10.1016/j.ejphar.2020.173368. Epub 2020 Jul 26. PMID: 32726657.
Syarif S, Makkaraka MAG, Zainal ATF, Birowo P, Atmoko W. Unlocking the potential of antioxidant supplementation with n-acetylcysteine to improve seminal parameters and analysis of its safety: a systematic review and meta-analysis of randomized controlled trials. Arch Ital Urol Androl. 2025 Mar 28;97(1):13750. doi: 10.4081/aiua.2025.13750. Epub 2025 Mar 24. PMID: 40126496.
Viña I, Viña JR, Carranza M, Mariscal G. Efficacy of N-Acetylcysteine in Polycystic Ovary Syndrome: Systematic Review and Meta-Analysis. Nutrients. 2025 Jan 14;17(2):284. doi: 10.3390/nu17020284. PMID: 39861414; PMCID: PMC11768055.
Masnadi Shirazi K, Sotoudeh S, Masnadi Shirazi A, Moaddab SY, Nourpanah Z, Nikniaz Z. Effect of N-acetylcysteine on remission maintenance in patients with ulcerative colitis: A randomized, double-blind controlled clinical trial. Clin Res Hepatol Gastroenterol. 2021 Jul;45(4):101532. doi: 10.1016/j.clinre.2020.08.010. Epub 2020 Oct 14. PMID: 33067169.
Cammarota G, Branca G, Ardito F, Sanguinetti M, Ianiro G, Cianci R, Torelli R, Masala G, Gasbarrini A, Fadda G, Landolfi R, Gasbarrini G. Biofilm demolition and antibiotic treatment to eradicate resistant Helicobacter pylori: a clinical trial. Clin Gastroenterol Hepatol. 2010 Sep;8(9):817-820.e3. doi: 10.1016/j.cgh.2010.05.006. Epub 2010 May 31. PMID: 20478402.
Peng TR, Lin HH, Tseng TL, Huang YH, Tsai PY, Lin CY, Lee MC, Chen SM. Efficacy of N-acetylcysteine for patients with depression: An updated systematic review and meta-analysis. Gen Hosp Psychiatry. 2024 Nov-Dec;91:151-159. doi: 10.1016/j.genhosppsych.2024.10.018. Epub 2024 Nov 3. PMID: 39504621.
Yolland CO, Hanratty D, Neill E, Rossell SL, Berk M, Dean OM, Castle DJ, Tan EJ, Phillipou A, Harris AW, Barreiros AR, Hansen A, Siskind D. Meta-analysis of randomised controlled trials with N-acetylcysteine in the treatment of schizophrenia. Aust N Z J Psychiatry. 2020 May;54(5):453-466. doi: 10.1177/0004867419893439. Epub 2019 Dec 11. PMID: 31826654.
Gray KM, Carpenter MJ, Baker NL, DeSantis SM, Kryway E, Hartwell KJ, McRae-Clark AL, Brady KT. A double-blind randomized controlled trial of N-acetylcysteine in cannabis-dependent adolescents. Am J Psychiatry. 2012 Aug;169(8):805-12. doi: 10.1176/appi.ajp.2012.12010055. Erratum in: Am J Psychiatry. 2012 Aug 1;169(8):869. PMID: 22706327; PMCID: PMC3410961.
Monti DA, Zabrecky G, Kremens D, Liang TW, Wintering NA, Bazzan AJ, Zhong L, Bowens BK, Chervoneva I, Intenzo C, Newberg AB. N-Acetyl Cysteine Is Associated With Dopaminergic Improvement in Parkinson’s Disease. Clin Pharmacol Ther. 2019 Oct;106(4):884-890. doi: 10.1002/cpt.1548. Epub 2019 Jul 17. PMID: 31206613.
Lee TM, Lee KM, Lee CY, Lee HC, Tam KW, Loh EW. Effectiveness of N-acetylcysteine in autism spectrum disorders: A meta-analysis of randomized controlled trials. Aust N Z J Psychiatry. 2021 Feb;55(2):196-206. doi: 10.1177/0004867420952540. Epub 2020 Sep 8. PMID: 32900213.
Radha E, Hill TD, Rao GH, White JG. Glutathione levels in human platelets display a circadian rhythm in vitro. Thromb Res. 1985 Dec 15;40(6):823-31. doi: 10.1016/0049-3848(85)90319-6. PMID: 4089839.




































Been using NAC for years. It’s actually incredible stuff. Great write up with data to support it.