90% of CoQ10 Supplements Are the Wrong Form
Why ubiquinol delivers 3.4x more to your blood than what's on the shelf
If you’re going to spend your coin on a CoQ10 form, you might as well do it right.
The one you’ll find in 90%+ of supplements on the shelf/Amazon is ubiquinone (marketed as CoQ10).
Ubiquinol is the reduced form. The type your cells use to scavenge free radicals, stabilize membranes, & protect LDL particles from the oxidation.
Now we have finally have a pair of studies released this month showing the efficacy (& superiority) of ubiquinol like we’ve never seen before.
Contents:
The Study
Findings
The Bioavailability Gap
How Ubiquinol Works
Ubiquinol’s Cardiometabolic Benefits
Practical Takeaways
The Study
Researchers in Bangkok published a pilot RCT looking at what happens when you give adults 100 mg/day of ubiquinol for 12 weeks and studied the shifts in oxLDL as the primary outcome.
Study Snapshot
Who were the subjects?
20 Thai adults with prediabetes (fasting blood glucose = 100–125 mg/dL) → chosen for a distressed CoQ10 system & upstream mitochondrial dysfunction
Ages 18–60
What did researchers study?
Using a randomized, double-blind, placebo-controlled design:
Ubiquinol group (n = 10): 100 mg/day ubiquinol (≥ 96%) in MCT oil
Placebo group (n = 10): Identical capsule with MCT oil only
Duration: 12 weeks
One capsule daily after first meal
What was measured?
Plasma oxLDL at baseline & week 12
Fasting glucose, liver enzymes, kidney function, CBC
Findings
Ubiquinol significantly reduced oxLDL within the treatment group.
The ubiquinol group saw oxLDL drop from 53.16 to 50.16 U/L over 12 weeks (p = 0.049). The placebo group showed no significant change (51.65 → 49.28, p = 0.237).
Why oxLDL?
LDL-C alone isn’t an efficient screening test for heart disease.
Oxidized LDL (oxLDL) is what happens when a normal LDL particle undergoes harm by reactive oxygen species.
The mechanism: LDL gets oxidized → becomes pro-inflammatory & pro-atherogenic → penetrates the arterial wall → gets engulfed by macrophages → forms foam cells → initiates plaque buildup

LDL-C tells you how much cholesterol is circulating. oxLDL tells you how much of it has already been damaged and is actively contributing to arterial injury.
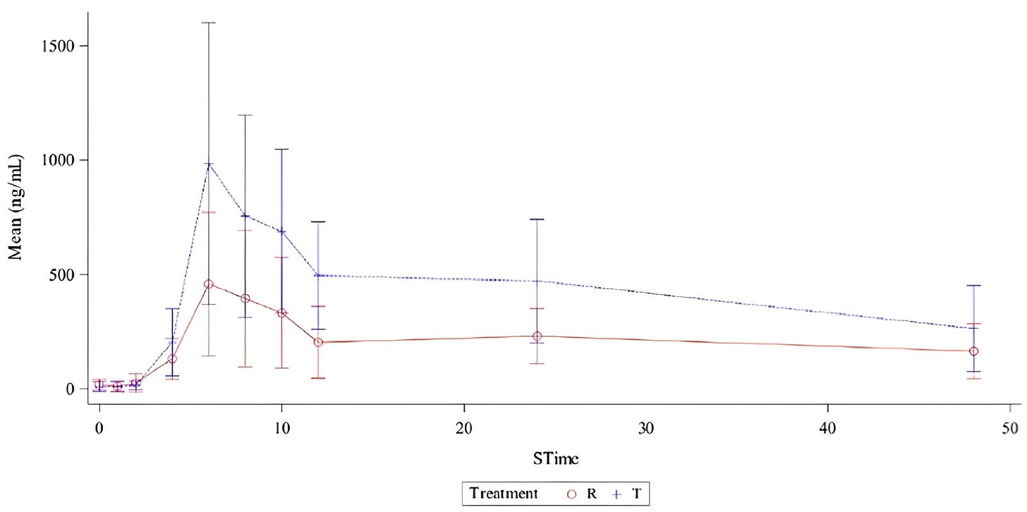
The Bioavailability Gap
In the same week, we got pharmacokinetic proof ubiquinol is superior to ubiquinone.
A randomized, double-blind crossover study (Mei et al., 2026) published in March 2026 compared the two forms head-to-head in 12 healthy adults aged 45–65.
Each subject got a single equivalent dose of both formulations (240 mg), separated by a 14-day washout. Plasma CoQ10 was tracked for 48 hours.
The results:
Peak plasma concentration (Cmax): ubiquinol was 2.2x higher than ubiquinone

Total plasma exposure over time (AUC₀₋ₜ): ubiquinol was 2.0x higher
Total systemic exposure extrapolated to infinity (AUC₀₋∞): ubiquinol was 3.4x higher
That final number matters most for long-term supplementation. It represents total bioavailability or what reaches systemic circulation.
How Ubiquinol Works
Ubiquinol provides LDL protection via three pathways:
Direct radical scavenging: Donates hydrogen atoms to neutralize lipid peroxyl & alkoxyl radicals. This interrupts the chain reaction of lipid peroxidation — the process converting normal LDL into oxLDL.
Antioxidant recycling: Regenerates other lipid-soluble antioxidants like vitamin E. This amplifies the total antioxidant capacity beyond what ubiquinol alone provides.
Mitochondrial stabilization: Ubiquinol is embedded in the electron transport chain. When mitochondrial function is preserved, less reactive oxygen species leak out. Less ROS = less LDL oxidation upstream.
Ubiquinol’s Broader Cardiometabolic Benefits
Some more of what the data supports:
Endothelial Function
A randomized, double-blind trial (Sabbatinelli et al., 2020) gave dyslipidemic adults 100 & 200 mg/day of ubiquinol for 8 weeks. Both doses significantly improved flow-mediated dilation, a direct measure of how well your blood vessels dilate & constrict.
Blood Pressure
A meta-analysis of 45 RCTs (Karimi et al., 2025) found that CoQ10 significantly reduced systolic blood pressure –3.5 mmHg on average.
Glycemic Control
A newly released double-blind, placebo-controlled trial (Palakornkitti et al., 2026) showed 20 adults given 100 mg/day ubiquinol for 12 weeks significantly improved insulin sensitivity.
Cardiovascular Mortality
The KiSel-10 trial (Alehagen et al., 2013), a five-year placebo-controlled study of 440 elderly adults, combined 200 mg CoQ10 with 200 µg selenium daily. The treatment group had a ~50% relative reduction in cardiovascular mortality vs. placebo (5.9% vs. 12.6%).
Heart Failure
The Q-SYMBIO trial (Mortensen et al. 2014) demonstrated that 420 patients in a 2-year trial given 300 mg CoQ10 daily reduced cardiac and all-cause mortality by 44% & 42%, respectively.
Antioxidant Capacity
A randomized, double-blinded, placebo-controlled trial (Ho et al., 2020) gave 31 healthy college athletes 300 mg of ubiquinone/day for 12 weeks. The treatment group had improved insulin sensitivity and increased total antioxidant capacity.
Statin-Induced CoQ10 Depletion
***CoQ10 is especially important if you’re running a statin*** (topic for another time)
Statins inhibit HMG-CoA reductase — the same pathway that produces CoQ10. Inhibit this enzyme and you start to deplete CoQ10 levels and impair mitochondrial energy production in muscles and the heart.
We have a few clear cases where CoQ10 taken adjacent to statins showed strong benefits:
Caso et al. (2007): 100 mg/day of CoQ10 across 32 hyperlipidemic patients for 30 days significantly reduced muscle pain by 40%, compared to Vit E alone, in patients treated with statins.
Fedacko et al. (2013): 60 patients supplementing with CoQ10 at 200 mg/day for three months significantly improved muscle pain & weakness in patients with statin-associated myopathy.
Skarlovnik et al. (2014): CoQ10 at 100 mg/day for 30 days significantly reduced statin-related muscle symptoms in ~75% of patients.

Practical Takeaways
1. If you’re taking CoQ10, check the form.
Ubiquinone/CoQ10 (the oxidized form) is cheaper & more common, but ubiquinol (the reduced form) has superior bioavailability & higher plasma concentrations after ingesting. If you’re over 40 or if you have any degree of metabolic dysfunction, your ability to convert ubiquinone → ubiquinol declines. Opt for ubiquinol.
2. Start at 100 mg/day.
Depending on cardiometabolic condition & antioxidant status, most will find 100–300 mg/day sufficient. If taking 200+ mg/day, split into two doses (morning + afternoon).
3. Always take it with fat. Morning or lunch is ideal.
Highest ROI lever. CoQ10 is fat-soluble and requires dietary fats for absorption. Without fat, bioavailability drops by ~75%. Take it with eggs, avocado, Brazil nuts, EVOO, or fatty fish (i.e. wild salmon, sardines). Morning or early afternoon is preferred because CoQ10 supports ATP production and some people have mild energizing effects that can interfere with sleep if taken late. Peak plasma concentration hits 6–8 hours post-dose, so morning intake aligns peak levels with daytime energy demand.
4. If you’re on a statin, ubiquinol is essential.
100–200 mg/day of ubiquinol taken at the opposite end of the day from your statin (morning vs. evening or vice versa) helps restore what the drug strips out. The objective is to mitigate its collateral damage on the mitochondria.
5. oxLDL deserves a spot on your biomarker radar.
oxLDL provides a better indicator on CV risk than LDL-C alone. Well worth the addition especially if older or you have some level of mitochondrial dysfunction you want to investigate.
6. Amplify ubiquinol’s effects.
Two synergistic micronutrients to pair with:
➜ Selenium (200 µg/day) is the cofactor for thioredoxin reductase, which is the enzyme that recycles oxidized CoQ10 back into active ubiquinol. Without adequate selenium, your body can’t efficiently reactivate the CoQ10 you’re supplementing.
➜ Vitamin E (200–400 IU mixed) forms a synergistic antioxidant loop with ubiquinol in the lipid membrane. Vitamin E handles initial chain-breaking during lipid peroxidation. Ubiquinol regenerates it back to its active form.
Aim to fulfill these needs through a food first approach (i.e. sardines, wild salmon, pasture-raised eggs, mackerel).
Ubiquinol sits at the intersection of three crucial cardiometabolic areas:
the oxidative state of lipoproteins,
the efficiency of mitochondrial antioxidant systems,
the ATP generation of high-energy tissues like cardiac/skeletal muscles.
If elite cardiometabolic health is in your set of long-term health objectives, ubiquinol may be worth a look.
Stay after it,
Phys














My main concern with the study comparing Ubiquinone and Ubiquinol head-to-head is that:
It’s a novel form of Ubiquinol (cocrystal)
It’s sponsored by the company that came up with that novel form
Assuming everything’s above board (and that #2 doesn’t matter), I am still left wondering if Ubiquinol is that much better or that form (cocrystal) is.
I just eat 250g of beef heart once a week, but that seems to be just one third of what you recommended taking per day (it's apparently around 10–15 mg CoQ10 per 100 g). Interesting