Why Trig/HDL Ratio Is The Ultimate Metabolic Biomarker
12 disease-related impacts it may help in predicting & what's ideal for you
There's no one biomarker to rule them all. Those who value empirical evidence know the necessity to contextualize metrics - a principle that holds true across all areas of health & fitness optimization. However, a single one that drives some of the greatest understanding of metabolic health among others: triglyceride/HDL ratio.
Simple to measure & calculate but as informative about the state of our metabolic wellness as any other marker. Since trig/HDL is a ratio across two individual metrics, let's define each independent of one another.
Triglycerides
As the primary storage form of fatty acids in fat tissue and the predominant lipid component in very low-density lipoproteins (VLDLs), triglycerides act as the body's most concentrated energy reservoir. Their molecular structure allows for dense energy storage (~9 calories/g) - more than 2x the caloric density of carbohydrates or proteins.
Triglycerides enter circulation through 2 main pathways: dietary intake & liver synthesis. Dietary triglycerides are broken down in the intestine into monoglycerides & fatty acids then absorbed and repackaged into chylomicrons. In the liver, triglycerides are synthesized via the glycerol-3-phosphate pathway and exported as VLDL particles.
Once in circulation, triglycerides in chylomicrons and VLDL particles are hydrolyzed releasing fatty acids for tissue use and converting these particles into smaller remnants. High triglyceride levels result from either overproduction, inadequate breakdown, or poor clearance of remnant particles.

HDL
HDL (high-density lipoprotein) is a small, dense particle composed of roughly 50% protein and 50% lipids. Its primary protein component is apolipoprotein A-I (apoA-I) - making up about ~70% of its protein content.
HDL's main function is reverse cholesterol transport. This means it’s responsible for removing excess cholesterol from tissues (especially arterial walls) & delivering it to the liver for elimination. HDL provides protection through a few different mechanisms:
Antioxidant effects that prevent LDL oxidation
Anti-inflammatory properties
Protection of blood vessel walls
Promotion of vasodilation
Prevention of blood clotting
Why is it such a powerful biomarker?
Now for why we're here. The trig/HDL ratio serves as the superior proxy in determining metabolic disease (or the likelihood of its onset) - few single ratios/biomarkers exist with such predictive power.
The term metabolic health gets tossed around often so let’s take a step back for a moment. What does it actually mean?
Metabolism refers to the biochemical processes governing how our bodies convert food into energy, create essential compounds to sustain life, & eliminate excess waste products. When these metabolic pathways become dysregulated, the resulting inefficiencies manifest in forms of various chronic diseases - many of which we’ll see.
What makes the trig/HDL ratio so valuable is its simplicity in reflecting the functionality of our metabolic machinery. In other words, it’s a window into how efficiently our body processes & uses energy at the cellular level (ATP). When triglycerides are elevated & HDL is low, this signals that energy metabolism has shifted away from optimal function (usually a reflection of insulin resistance, inflammation, & mitochondrial stress).
Ideally, when contextualized with other metabolic markers we can depict a sufficient understanding of our metabolic well-being. Combine with 3 others and you've got an excellent profile on the state of your metabolic health: 1) blood pressure, 2) waist-to-height ratio, & 3) HbA1c.
What is the Trig/HDL ratio strongly associated with?
Hypertension
Study #1
Population: 9,679 subjects from a rural Chinese area
Median Follow-Up Period: 6 yrs
Results: Those in the highest quartile of TG/HDL-C ratio (2.46) had a 21% higher risk of developing hypertension compared to those in the lowest quartile (0.54). This risk was more pronounced in:
Women → 30% increased risk
Under 60 → 36% higher risk)
Prehypertension at baseline → 33% elevated risk
PMID: 32332924
Study #2
Population: 245 participants
Follow-Up Period: Followed for 20 yrs from age 16 - 35
Results: Adolescents with a high TG/HDL-C ratio (2.2) had a 3.4-fold higher risk of developing hypertension in adulthood compared to those with a low ratio (0.8), even after adjusting for factors like baseline blood pressure & other metabolic markers. 18.3% of the high-ratio group developed hypertension versus 5.4% in the low-ratio group over a 20-year follow-up period.
PMID: 30200983
CVD
Study #1
Population: 403,335 subjects from UK Biobank
Median Follow-Up Period: 8.1 yrs
Results: During the study period, 4.9% of participants developed cardiovascular disease (CVD). 4.1% experiencing coronary heart disease & 1.0% having strokes. Those in the highest TG/HDL-C ratio quartile (5.8) faced a 29% increased CVD risk relative to the lowest quartile (1.1), with this group showing high rates of dyslipidemia (40%), hypertension (13.3%), and type 2 diabetes (11.8%).
PMID: 36797706
Study #2
Participants: 96,542 Chinese participants from Kailuan
Median Follow-Up Period: 9.75 yrs
Results: Compared to a low TG/HDL-C ratio (≤ 0.85), individuals with a high ratio (>0.85) had:
19% higher risk of total cardiovascular events
11% higher risk of stroke
50% higher risk of myocardial infarction
PMID: 31325411
Type 2 Diabetes
Participants: 1,460 subjects (> 55 yrs without T2)
Median Follow-Up Period: 25 yrs
Results: The following represent the risks of developing T2D compared to people with a trig/HDL ratio below 0.87:
Subjects with ratios of 0.87–1.30 had a 90% higher risk
Subjects with ratios of 1.31–1.74 had a 2.75x higher risk
Subjects with ratios ≥1.75 had a 2.84x higher risk
PMID: 32205325
Insulin Resistance
Study #1
Participants: 3,014 with an average age of 54 yrs
Median Follow-Up Period: 6.4 yrs
Results: The trig/HDL ratio had an AUC of 0.745 for predicting insulin resistance - meaning it’s fairly accurate test (1.0 is perfect & 0.5 is no better than chance). Those with an elevated trig/HDL ratio had a 2.7x higher risk of developing coronary heart disease compared to those without insulin resistance.
PMID: 18312765
Study #2
Participants: 239 young adults (18 - 24 yrs)
Results: A high Trig/HDL ratio (4.2) is strongly linked to being overweight (over 9x the odds), obesity (over 27x the odds), and abdominal obesity (over 4x the odds). People with elevated TG/HDL-C ratios also have much higher insulin resistance (shown by higher HOMA-IR values) & nearly half (45.6%) of this group have insulin resistance.
PMID: 39440341
Kidney Health
Participants: 363 primary membranous nephropathy (PMN) patients at Shenzhen Second People's Hospital (average age of 47 yrs)
Median Follow-Up Period: 15 yrs
Results: After adjusting for multiple factors, an elevated trig/HDL ratio (> 3) was found to be an independent risk factor for tubular atrophy in PMN patients.
PMID: 38327562
Non-Alcoholic Fatty Liver Disease
Participants: 6,495 participants
Results: After adjusting for confounding variables, patients in the fourth Trig/HDL quartile (2.5) had 3.6x higher odds of NAFLD compared to those in the first quartile (0.41).
PMID: 39081791
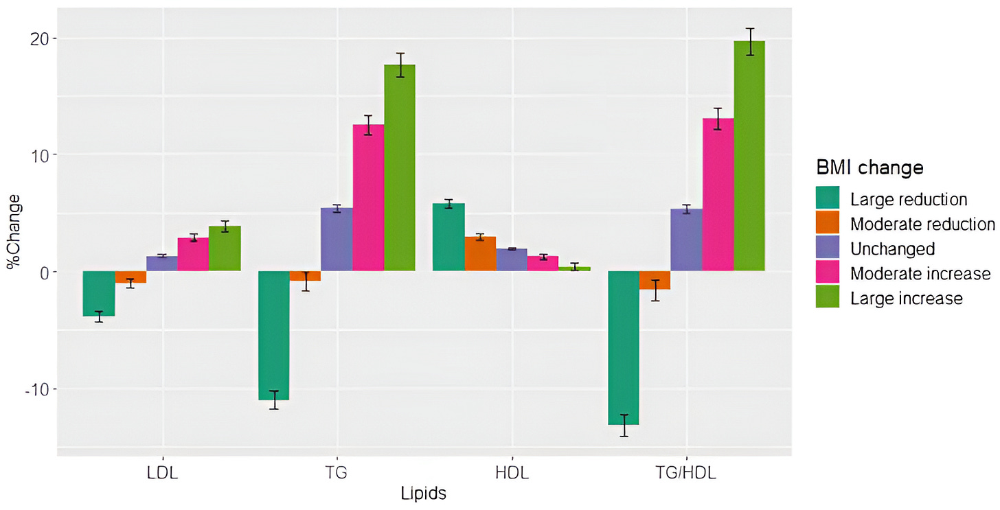
BMI
Participants: 18,828 (72% male)
Follow-Up Period: 1 yr
Results: Weight changes - even moderate ones (>2.5% BMI change) - significantly lowered the trig/HDL ratio. Conversely, increased BMI was associated with higher trig/HDL ratios.
PMID: 38398811
COVID-19
Participants: 1,228 confirmed COVID-19 patients
Results: Survivors of COVID-19 had on average 28% lower Trig/HDL-C levels relative to those who died from the disease.
PMID: 35913952
Heart Rate Recovery
Participants: 4,963 healthy adults from the Lipid Research Clinics Prevalence Study
Median Follow-Up Period: 12 yrs
Results: People with a high Trig/HDL ratio (> 1.8) had a 40% rate of poor heart recovery after exercise compared to 30% in those with a low ratio (< 0.66). For each step up in the ratio, the chance of poor heart recovery increased by 16%. If someone had both a high ratio & poor heart recovery, their risk of dying was 49% higher than those with a high ratio but normal heart recovery.
PMID: 15047652
Hearing Impairment
Participants: 18,004 Korean subjects
Results: As the TG/HDL-C ratio increases, the likelihood of hearing loss also rises. Participants in the highest trig/HDL ratio quartile (5.38) had the worst hearing thresholds and were significantly more likely to have hearing loss: they had a 32% higher risk than those in the lowest quartile (0.85), 27% higher than the second quartile (1.57), and 16% higher than the third quartile (2.57).
PMID: 28922043
Muscle Loss
Participants: 879 elderly Korean males aged 60+ yrs
Median Follow-Up Period:
Results: People in the highest TG/HDL-C ratio quartile (≥3.9) had more than double the odds of having sarcopenia compared to those in the lowest quartile (≤1.4) - even after accounting for age, BMI, smoking, alcohol, & physical activity.
PMID: 27983997
Depression
Study #1
Participants: 11,648 adult men & women aged ≥ 19 years
Results: Among men, each increase of 1 in the TG/HDL-C ratio was linked to a 4.1% higher chance of having depression. In contrast, other cholesterol ratios like total cholesterol/HDL-C & LDL-C/HDL-C were not associated with depression in men.
PMID: 35418704
Study #2
Participants: 211,200 participants from the AMORIS cohort in Sweden
Avg. Follow-Up Period: 21 yrs
Results: High triglyceride levels were linked to a 15% higher risk of developing depression, anxiety, & stress-related disorders, while high HDL levels were linked to a 12% lower risk. People who later developed psychiatric disorders had higher glucose, triglyceride, & total cholesterol levels up to 20 years before diagnosis, and higher apolipoprotein A-I and B levels up to 10 years before diagnosis.
PMID: 38564219
Why Trig/HDL ratio may be a superior metabolic biomarker to LDL-C?
The markers are different measurements entirely and should be treated as such. As we saw, trig/HDL is an excellent representation of metabolic well-being overall. Enough to even be indicative of psychological well-being, auditory impairment, & immune function. LDL-C is better aligned at identifying atherosclerosis risk specifically. But even then, a coronary artery calcium (CAC) test or Coronary Computed Tomography Angiography (CCTA) are going to be better predictors than LDL-C alone.
Up until this point, a number of studies support the utility of trig/HDL ratio over LDL-C for predicting metabolic syndrome. In 2018, Rezapour et al. noted the following:
“As TG/HDL-C ratio increases, LDL with smaller size (LDL particle) and more density will become more athrogenic. The higher level of TG/HDL-C has a higher correlation with the risk of developing IHD, insulin resistance & athrogenic mechanism of LDL even when LDL level is in the normal range.”
In another 2021 study of patients with stable angina, the trig/HDL ratio was an independent predictor of cardiovascular events, while LDL-C showed no significant differences across risk groups. Caselli et al. wrote:
“At baseline, the proportion of males, patients with metabolic syndrome, diabetes and obstructive CAD increased across TG/HDL-C ratio quartiles, together with markers of insulin resistance, hepatic and adipose tissue dysfunction and myocardial damage, with no difference in total cholesterol or LDL-C.”
What's the ideal Trig/HDL ratio?
As always - contextualize this with other metabolic & inflammation health markers (HbA1c, blood pressure, hs-CRP, waist-to-height ratio). Let this serve as a general guide to your trig/HDL ratio:
<1: Under 1 is where you want to be. It suggests excellent metabolic health. Your liver is functioning well. You're sensitive to both leptin & insulin. Your cellular machinery is operating the way it’s supposed to. Steady.
1-2: This is good but still leaves room for improvement. You may be at the point of developing a mild form of leptin resistance. Relatively low risk, but focus on consuming a high-protein diet, prioritizing sunlight & sleep, increasing fasted moderate-intensity steady state cardio, carb cycling, & performing HIIT 1-2x/week. Doable to turn into optimal within 3 months.
2-3: Trouble is brewing. We’re in the area signaling increasing metabolic dysfunction & thus moderate levels of metabolic syndrome risk. You're likely leptin resistant and possibly developing insulin resistance. Odds of being overweight are high and we need to dial in the foundations here.
> 3: Things start to get really ugly when we’re north of 3. Non-alcoholic fatty liver disease has crept up. We’re way past being leptin resistant and full-on insulin resistant. High chance you’ve got a fair amount of weight to cut. This is typically where we start to see a significant gradient change in the onset of psychological health issues as well.
If it's anything you can takeaway from this: Test. Don't guess.
I've now seen dozens of cases among individuals where by sight, they look like healthy individuals.
They get a basic metabolic & lipid panel done.
Trig/HDL > 3. Woof.
Good news here for us is this state of metabolic dysfunction is highly reversible.
Something like a ratio slightly above 3 can be brought to moderately healthy levels within 3-4 months. And even within the optimal range within 6 months. The common path just about every time: cutting fat (often visceral) to sensitize insulin & leptin.
Dial in the foundations & an optimized state of metabolic health is inevitable.
That’s it for this week. Now - I want to hear your thoughts. Where I missed. Where I hit. And most importantly, your experiences as it relates to metabolic health. Democratize it for all.
We’re more bullish than ever on the future here. As always, stay healthy & we’ll see you next week.
Your friend,
Phys
***Disclaimer: The information provided by BowTiedPhys is for educational purposes only. This content is not intended to be a substitute for professional medical advice, diagnosis, or treatment of any kind. BowTiedPhys is not a licensed medical provider. Prior to making any changes to your health protocols, consult a licensed healthcare professional. Some of the links in this post may be affiliate links - BowTiedPhys may earn a commission at no additional cost to you. This commission helps support our work and allows us to continue providing valuable content to our valued subscription members.***


















I’m at 81/41…1.97
Mines 1.46 but 54/37. I need to figure out what will move the needle on my hdl