The Medical Establishment's Deadliest Lie: How Sun Avoidance Is Systematically Destroying Our Biology
17 Ways Modern Life is Starving Your Biology
Modern medicine has had its fair share of blunders over the past half century. Biggest of all: sun-fearing reductionist dogma.
Next time you’re faced head-on by a sun disrespector - congrats you’ve now been effectively armed with everything you need to corroborate your claims in evidence-based research.
Much to explore so we waste no time. Onwards.
If you haven’t already, reminder to subscribe below. Every little bit makes an impact in the fight against the rampant growth of the reductionist AI/mainstream slop we're seeing. (We’re going to win.) And it’s why we’re running the Anti-Slop Summer Sale™ before we roll out more premium content.
Benefit #1: Nitric Oxide Release & Blood Pressure Regulation
Primary Wavelengths Responsible: UVA (315 - 400 nm)
How it Works: Our skin contains abundant photolabile NO derivatives → nitrite (NO₂⁻) & S-nitrosothiols (RS-NO), acting as reservoirs for NO. When exposed to UVA, these compounds undergo photolysis (a light-induced chemical decomposition) releasing free NO. This NO diffuses from the skin into circulation where it acts as a vasodilator. By relaxing arterial smooth muscle cells, NO reduces vascular resistance, increases blood flow, & lowers blood pressure (BP).

Supporting Research:
Weller et al. (2020) → In a large observational cohort study of 342k hemodialysis patients, every unit increase in UVA (W/m²), SBP decreased by 0.32 mm Hg in whites & 0.23 mm Hg in blacks.

Correlation between UVA & systolic blood pressure (Source) Opländer et al. (2009) → This experimental study demonstrated UVA light exposure significantly lowered blood pressure:
Immediate: 5.6% decrease right after UVA exposure
Peak effect: 11.9% decrease at 15 minutes (strongest effect)
Lasting effect: 5.9% decrease still present 45 minutes later

Impacts of UVA exposure on mean arterial blood pressure (Source)
Kent et al. (2023) → A cross-sectional study of 19,760 people found that moderate sun-protective behaviors (i.e. sunscreen use) increased the odds of having hypertension by 31%.
Benefit #2: Skin & Gut Microbiome
Primary Wavelengths Responsible: UVB (280 - 315 nm) & UVA (315 - 400 nm)
How it Works: UVB exposure to the skin triggers vitamin D production from 7-dehydrocholesterol converting tryptophan into FICZ enhancing detoxification, barrier function, & immunity in the skin & gut. This skin-initiated cascade positively modulates the gut: tilting microbiome composition positively, increasing short-chain fatty acid (SCFA) production, & promoting the formation of secondary bile acids and tryptophan metabolites. The resulting SCFAs create a feedback loop traveling from the gut back to the skin to further optimize skin metabolism & gut function.

Supporting Research:
Bosman et al. (2019) → A pilot clinical study exposed 21 females to three sessions of whole-body UVB. In these subjects, alpha diversity (Shannon index) rose significantly (p=0.0001), Firmicutes increased (p=0.03) & Bacteroidetes decreased (p=0.02).
Harel et al. (2023) → 10 lifeguards exposed to daily sunlight over a 5-month summer period showed significant levels of specific bacteria enrichment known for producing UV-protective compounds (Sphingomonas & Erythrobacteraceae) compared to pre-summer baselines.
Benefit #3: β-Endorphin Release
Primary Wavelengths Responsible: UVB (280 - 315 nm)
How it Works: UVB causes controlled DNA damage in skin cells activating the p53 protein to produce pro-opiomelanocortin (POMC) → a precursor that gets broken down into β-endorphin. POMC is then cleaved into β-endorphin and other peptides like α-melanocyte-stimulating hormone (α-MSH) & adrenocorticotropic hormone (ACTH). β-endorphin enters the bloodstream and binds to opioid receptors in the brain creating natural mood enhancement & pain relief along with reduction of inflammation in the skin.
Supporting Research:
Jussila et al. (2016) → In a clinical study of 12 healthy volunteers exposed to UVB, skin biopsies showed increased β-endorphin expression in keratinocytes 24 hours post-exposure.
Fell et al. (2014) → Mice exposed to UVB radiation (equivalent to 20-30 minutes of midday Florida sun) for 6 weeks triggered β-endorphin production in skin cells leading to significantly elevated plasma levels within just 1 week.

Benefit #4: Melanin Production
Primary Wavelengths Responsible: UVB (280 - 315 nm)
How it Works: Melanin acts as a natural sunscreen and antioxidant absorbing and scattering 50-75% of UV radiation protecting deeper skin layers from DNA damage & inflammation. UVB radiation activates the p53 protein to produce hormones (α-MSH & ACTH) that bind to receptors on melanocytes and trigger a cascade increasing melanin-producing enzymes like tyrosinase. This leads to melanin synthesis forming protective caps over cell nuclei to shield DNA from further UV damage. The tanning response occurs in phases: immediate darkening (minutes) → persistent darkening (hours/days) → delayed tanning with new melanin production (2-3 days).
Supporting Research:
De Winter et al. (2001) → 3 weeks of gradually increasing UV exposure led to increased pigmentation and skin thickness that provided substantial photoprotection. This reduced erythema sensitivity by 75% & DNA damage by ~60% when challenged with subsequent high-dose UV exposure.

Increased skin thickness yielding photoprotective benefits of melanin buildup (Source)
Benefit #5: Vitamin D Synthesis
Primary Wavelengths Responsible: UVB (280 - 315 nm)
How it Works: UVB from sunlight hits the skin and converts 7-dehydrocholesterol into pre-vitamin D3. This then isomerizes into vitamin D3 (cholecalciferol) and enters the bloodstream via vitamin D-binding protein. This vitamin D3 travels to the liver for hydroxylation to 25(OH)D3 → to the kidneys where it becomes the active hormone 1,25(OH)2D3 → binds to vitamin D receptors in ~30 different tissues to regulate much of the human genome.

What serum Vitamin D levels should I target?

Supporting Research:
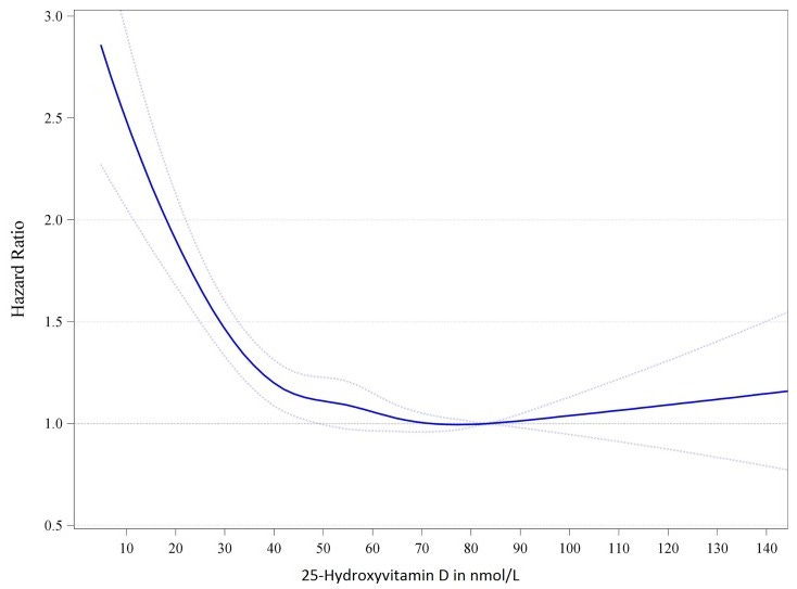
Gaksch et al. (2017) → In a meta-analysis of ~27k subjects, those with 25(OH)D concentrations <30 nmol/L had a 67% increased all-cause mortality risk than those with levels between 75 - 100 nmol/L.

Relationship between vitamin D blood levels & all-cause mortality risk (Source) Hu et al. (2024) → Vitamin D levels <25 nmol/L were associated with a 76% increased risk of CVD death compared to the reference group (25-50 nmol/L). Higher vitamin D levels showed protective effects - those having 50-75 nmol/L showing 32% lower CVD mortality risk and those with ≥75 nmol/L showing 33% lower risk compared to the reference group.

Association between serum Vitamin D concentration & CVD mortality (Source) McDonnell et al. (2018) → In this pooled cohort study of 5k women, those with vitamin D blood levels ≥60 ng/ml had an 82% lower risk of developing breast cancer compared to women with levels <20 ng/ml.

Benefit #6: Sex Hormones Modulation
Primary Wavelengths Responsible: UVB (280 - 315 nm) & blue light (380 - 490 nm)
How it Works: UVB triggers the skin-brain-gonad axis where keratinocytes release POMC-derived peptides stimulating the hypothalamus to produce GnRH. This prompts the pituitary to release LH & FSH enhancing sex hormone production in the gonads. Bright light exposure also contributes by suppressing melatonin and entraining circadian rhythms further regulating reproductive hormones.
Supporting Research:
Myerson & Neustadt (1939) → Ever wonder where the “sun your balls” phenomenon got its origins? This 1939 clinical study demonstrated that UV irradiation transiently increased androsterone (a testosterone metabolite) excretion in patients with 5 consecutive daily treatments raising levels by 120% (chest area) & 200% (genitals) above baseline.

Transient impact of UV radiation on androsterone levels (Source)
Parikh et al. (2021) → After undergoing 1 month of UVB phototherapy, men showed increased passionate thoughts about their partners and greater verbal aggression after 1 month of treatment. Women reported enhanced feelings about their romantic partner being a perfect match & stronger physical responses.
Yoon et al. (2003) → In this controlled study of 11 healthy young men, 5 days of early morning bright, blue light exposure increased luteinizing hormone excretion by 70% & advanced melatonin timing, while the placebo light had no effect.

Increases in LH excretion after exposure to bright light exposure (Source)
Benefit #7: Serotonin Production
Primary Wavelengths Responsible: UVB (280 - 315 nm) & blue light (380 - 490 nm)
How it Works: First, blue light activates intrinsically photosensitive retinal ganglion cells (ipRGCs) signaling to the suprachiasmatic nucleus to inhibit the pineal gland's conversion of serotonin to melatonin during the day. UVB also creates multiple pathways boosting our serotonin: 1) vitamin D upregulates brain serotonin synthesis enzymes generating cis-urocanic acid that can bind to serotonin receptors & 2) it activates skin-based stress pathways releasing hormones to stimulate central serotonin systems.
Supporting Research:
Golden et al. (2005) → Across 20 selected trials for this meta-analysis, bright light therapy produced significant reductions in depression symptoms with effect sizes equivalent to antidepressant medications.
Lambert et al. (2002) → In 101 healthy men, brain serotonin turnover was significantly lowest during winter months and directly correlated with daily sunlight duration (p=0.01), with serotonin production rates rising rapidly as luminosity increased.

(A) Turnover of serotonin in brain & (B) Mean daily hrs of bright sunlight (Source) Kent et al. (2009) → Across 16,800 subjects, those receiving the lowest sunlight levels had 2.6x higher odds of cognitive impairment compared to those with higher exposure. 25 kJ/m² ≈ 20-30 minutes of midday summer sun on fair skin.

Odds ratio of cognitive impairment by sunlight exposure levels (Source)
Benefit #8: Pathogen Defense + Antimicrobial Peptides
Primary Wavelengths Responsible: UVB (280 - 315 nm)
How it Works: The activation of vitamin D receptors forms complexes bind to specific DNA sequences in antimicrobial peptide genes upregulating pathogen-fighting compounds like cathelicidin (LL-37) & human β-defensins. Vitamin D also orchestrates adaptive immunity by: 1) suppressing inflammatory T cell subsets (Th1, Th17) that could cause tissue damage, 2) promoting regulatory T cells (Treg) and Th2 responses that maintain immune balance, & 3) modulating dendritic cell maturation to optimize antigen presentation.

Supporting Research:
Simpson et al. (2010) → This study of 145 people with relapsing-remitting multiple sclerosis found each 10 nmol/L increase in serum vitamin D levels resulted in a 12% reduction in relapse risk.

Hazard ratios for MS relapse by Vitamin D levels. Larger bubbles implies greater precision. (Source) Hollams et al. (2011) → Young males with the highest vitamin D levels had lower rates of developing allergies by 12 percentage points (59% vs 71%) and house dust mite sensitization by 13 percentage points (37% vs 50%) compared to those with the lowest levels.

Probability of allergic sensitization across Vitamin D quartiles (Source)
Benefit #9: Leptin & Insulin Sensitization
Primary Wavelengths Responsible: UVB (280 - 315 nm)
How it Works: Once UVB eventually produces 1,25-dihydroxyvitamin D3 via the vitamin D pathway, it binds to receptors in target tissues upregulating genes for insulin signaling (GLUT-4, IRS-1 pathway), beta-cell function (insulin secretion via calcium influx), & anti-inflammatory cytokines (reducing IL-6/TNF-α via NF-κB inhibition). For leptin, vitamin D reduces hyperleptinemia: 1) improving adipocyte differentiation, 2) decreasing fat tissue inflammation, & 3) enhancing leptin receptor sensitivity via suppression of leptin gene expression in inflamed fat.
Supporting Research:
Lindqvist et al. (2010) → In a cohort study across nearly 30k Swedish women, those with active sun exposure habits had a 30% lower risk of developing type 2 diabetes compared to those with inactive sun habits across multiple exposure categories.
Geldenhuys et al. (2014) → Male mice exposed to ultraviolet radiation significantly suppressed weight gain by at least 40%, reduced insulin resistance, alleviated nonalcoholic fatty liver disease, & decreased serum cholesterol levels.
Benefit #10: Circadian Regulation
Primary Wavelengths Responsible: Blue light (380 - 490 nm)
How it Works: Circadian rhythms entrainment begins at the retinal level when blue light photons strike melanopsin molecules within intrinsically photosensitive retinal ganglion cells (ipRGCs). This signal travels to the suprachiasmatic nucleus (SCN) resetting the molecular clock. The synchronized SCN then entrains peripheral clocks throughout the body via neural/hormonal outputs: melatonin regulation, cortisol/leptin/insulin rhythms, & expression of clock genes.

Supporting Research:
Stothard et al. (2018) → Five physically active participants underwent a two-week protocol comparing their circadian rhythms and sleep patterns between a modern electrical lighting environment & winter camping in the Rocky Mountains. The natural lighting environment resulted in sleep onset occurring ~2.5 hours earlier while maintaining similar wake times, leading to significantly longer sleep duration (9.9 hrs camping vs 7.6 hrs electrical lighting).

Average melatonin onset, midpoint, & offset following 1 week exposure to electrical vs. natural lighting (Source)
Benefit #11: Anti-Bacterial
Primary Wavelengths Responsible: UVB (280 - 315 nm) & UVA (315 - 400 nm)
How it Works: Both UVB & UVA wavelengths form cyclobutane pyrimidine dimers. These DNA photoproducts generate reactive oxygen species that attack bacterial cell membranes through lipid peroxidation and denature essential proteins. Thus, making it difficult for bacteria to develop resistance and ensures rapid inactivation.
Supporting Research:
Azuma et al. (2021) → Natural sunlight exposure achieved nearly 100% inactivation of six classes of antimicrobial-resistant bacteria within 5 hr in contaminated water samples from sewage treatment plants and river water in urban Japan.

Bacterial inactivation as a function of UV radiation (Source)
Benefit #12: Anti-Inflammatory
Primary Wavelengths Responsible: Red light (620 - 750 nm)
How it Works: Red light penetrates tissues and is absorbed by cytochrome c oxidase in the mitochondrial electron transport chain, where photons increase the enzyme's affinity for oxygen and enhance ATP synthesis. This leads to enhanced cellular respiration, improved redox balance overall, & upregulation of anti-inflammatory signaling pathways.
Supporting Research:
Zhevago et al. (2006) → Red & IR light to the pelvic area produced dramatic reductions in pro-inflammatory cytokines within 0.5 hours: TNF-α, IL-6 (Figure A), & IFN-γ. Anti-inflammatory cytokines also increased significantly: IL-10 (Figure B), TGF-β1, & IFN-α.

Benefit #13: Antioxidant
Primary Wavelengths Responsible: Red light (620 - 750 nm)
How it Works: Red light wavelengths regulate redox balance by upregulating antioxidant enzymes like superoxide dismutase (SOD), glutathione peroxidase/reductase (GPx/(GR), & heme oxygenase-1 (HO-1), while downregulating oxidant enzymes like nitric oxide synthase (iNOS) & cyclooxygenase-2 (COX-2).
Supporting Research:
Macedo et al. (2016) → Red light (660 nm) counteracted formaldehyde-induced oxidative stress in rat lungs by reducing reactive species (nitrites & hydrogen peroxide), increasing cellular antioxidant defenses (oxidative burst), decreasing oxidant enzyme levels, & upregulating antioxidant enzymes.
Benefit #14: Mitochondrial Function
Primary Wavelengths Responsible: Red light (620 - 750 nm) & NIR (750 - 1,400 nm)
How it Works: Red & NIR light penetrates cells and is absorbed by cytochrome c oxidase - a photoreceptor enzyme in the mitochondrial electron transport chain facilitating oxygen binding for ATP synthesis. However, oxygen competes with NO at the enzyme’s center (CuB/a3). When these photons strike the skin, they photodissociate weakly-bound NO molecules allowing oxygen to bind efficiently and restore the enzyme's function in the final step of cellular respiration where electrons are transferred to oxygen to drive ATP production.

Supporting Research:
Wang et al. (2017) → NIR (1064 nm) light applied to the forehead of 11 healthy participants significantly increased brain concentrations of oxygenated hemoglobin by >0.8 µM (Figure A), total hemoglobin by >0.5 µM (Figure B), & oxidized cytochrome-c-oxidase by >0.08 µM (Figure C) compared to placebo treatment.
Modena et al. (2023) → Women who underwent bariatric surgery demonstrated that red/IR therapy significantly upregulated multiple mitochondrial markers (cAMP, DRP1, FAS, FIS1, MFN2, & OPA1; all p<0.001) in adipose tissue compared to control areas. This implies mitochondrial stimulation is the underlying mechanism by which red/NIR promotes lipolysis & apoptosis in fat cells.
Benefit #15: Intra-Cellular Melatonin Production
Primary Wavelengths Responsible: Red light (620 - 750 nm) & NIR (750 - 1,400 nm)
How it Works: Widely known as our sleep hormone, melatonin (“extrapineal” type) is critical to proper mitochondrial function via protecting them from oxidative damage, supporting glutathione levels & facilitating the repair/regeneration of mitochondria during sleep. NIR photons penetrate tissues and interact with mitochondrial cytochrome c oxidase to release NO and rapidly enhance local melatonin synthesis from serotonin. This locally-produced mitochondrial melatonin provides cytoprotection improving the state of redox balance (i.e. eliminating free radicals) and stabilizing the electron transport chain.
Supporting Research:
Zhao et al. (2012) → This cohort study of 20 elite female basketball players found that 30 min/night of red light therapy for 14 days significantly increased serum melatonin levels from baseline values of 22.2 to 38.8 pg/mL in the treatment group (P < 0.001), while the placebo group showed minimal change (21.7 to 23.8 pg/mL).

Changes in serum melatonin levels before & after intervention for treatment vs. placebo groups (Source) Zimmerman & Reiter (2022) → Melatonin functions as a ubiquitous cellular antioxidant with plasma and sweat levels reaching their highest concentrations during intense exercise in sunlight (showing >5 pg/ml min ramp rates compared to 0.15 pg/ml min under dim conditions). Modern indoor lifestyles have eliminated >90% of natural ROS exposure from sunlight and exercise.

Benefit #16: Metabolic Function
Primary Wavelengths Responsible: Red light (600 - 700 nm) & NIR (770 - 1220 nm)
How it Works: Rooted in the mechanism of mitochondrial function improvement, red/NIR light enhances metabolic function by restoring mitochondrial electron transport chain efficiency & increasing ATP synthesis. This mitochondrial enhancement creates greater cellular energy demands by suppressing JNK-mediated insulin resistance pathways, restoring Akt phosphorylation & GLUT4 translocation for increased glucose uptake.
Supporting Research:
Powner & Jeffery (2024) → 15 minutes of 670 nm red light significantly reduced post-meal blood glucose elevation by 28% & peak glucose spikes by 7.5%.

Benefit #17: Collagen Production
Primary Wavelengths Responsible: Red (600 - 700 nm) & NIR (700 - 1,200 nm)
How it Works: The photobiomodulation of cytochrome c oxidase in dermal fibroblast mitochondria is the primary mechanism at play for collagen production. Red & NIR photons cause nitric oxide photodissociation from the enzyme's binuclear center restoring electron transport chain function & increasing ATP synthesis. This generates a mild reactive oxygen species activating MAPK & PI3K signaling cascades upregulating collagen genes (COL1A1 & COL3A1) while suppressing matrix metalloproteinases (MMP-1 & MMP-3).
Supporting Research:
Wunsch & Matuschka (2014) → 136 volunteers administered twice-weekly red/NIR treatments for 15 weeks significantly improved skin complexion, skin feeling, surface roughness, and collagen density compared to controls.

Subject photo examples before & after the 30-session intervention (Source) Barolet et al. (2009) → Red light significantly reversed age-related skin changes by increasing type-1 procollagen levels by 31% & reducing matrix metalloproteinase-1 (MMP-1) by 18%. Over 90% of individuals experienced reduced wrinkle depth and surface roughness, and 87% showed improvement in wrinkling severity scores after 12 treatments.
That’s a wrap for this week. As always, remember to share this post below with your family & friends to undoctrinate the sunlight disrespectors.
Stay sun-kissed,
BTP
One more thing: If you haven’t already, reminder to subscribe below. Every little bit makes an impact in the fight against the rampant growth of the reductionist AI/mainstream slop we're seeing. (We’re going to win.) And it’s why we’re running the Anti-Slop Summer Sale™ before we roll out more premium content.
***Disclaimer: The information provided by BowTiedPhys is for educational purposes only. This content is not intended to be a substitute for professional medical advice, diagnosis, or treatment of any kind. BowTiedPhys is not a licensed medical provider. Prior to making any changes to your health protocols, consult a licensed healthcare professional. Some of the links in this post may be affiliate links - BowTiedPhys may earn a commission at no additional cost to you. This commission helps support our work and allows us to continue providing valuable content to our valued subscription members.***








